sábado, abril 18, 2026
LINO ZENTELLA
Advertisement
  • INICIO
  • NOTICIAS
  • DENUNCIAS ANÓNIMAS
  • OBJETIVO
  • EN CORTO
  • VIDEOS
No Result
View All Result
  • INICIO
  • NOTICIAS
  • DENUNCIAS ANÓNIMAS
  • OBJETIVO
  • EN CORTO
  • VIDEOS
No Result
View All Result
LINO ZENTELLA
No Result
View All Result

¡PAQUETE 6 REFINERÍA OLMECA: PAGOS INDEBIDOS Y AMPLIACIONES INTERMINABLES PARA TECHINT, BAKER, NUOVO Y JA DÍAZ, DETECTÓ ASF 2024!

Lino Zentella by Lino Zentella
abril 6, 2026
in NOTICIAS, PEMEX
0
Share on FacebookShare on Twitter

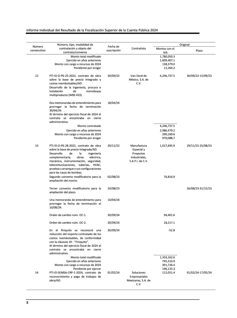
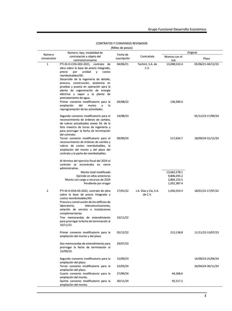
Denuncia al 9933989844… 🚩⚠️🏭‼️¡PAQUETE 6 REFINERÍA OLMECA: Pagos indebidos y ampliaciones interminables para TECHINT, BAKER, NUOVO y JA DÍAZ, detectó ASF 2024! En la ronda de 31 auditorías a la cuenta pública de @Pemex en el ejercicio del año 2024, la Auditoría Superior de la Federación (ASF), que ahora dirige Aureliano Hernández Palacios Cardel, identificó deficiencias relevantes en la gestión, ejecución y control financiero del Paquete 6 del proyecto de la nueva refinería Olmeca en Dos Bocas, Paraíso, Tabasco, particularmente en lo relativo a pagos indebidos, duplicidades, modificaciones contractuales y montos pendientes por ejercer, en un universo de recursos por 11,110,412.5 miles de pesos, de los cuales se revisó una muestra de 6,299,431.0 miles de pesos, equivalente al 56.7% del total ejercido en 2024, de acuerdo a la auditoría 2024-6-90T9N-22-0254-2025. La revisión comprendió 16 contratos (tres de obra a precios integrados, uno de adquisiciones, nueve de obra mixtos y tres de reconocimiento y pago) todos adjudicados principalmente por asignación directa, cuyos montos ejercidos en 2024 sumaron 6,299,431.0 miles de pesos. Entre los contratos con mayor peso financiero destaca el PTI-ID-O-COG-002-2021, a cargo de TECHINT, con un monto modificado de 13,662,578.1 miles de pesos, así como el contrato de adquisiciones PTI-ID-PROC-50-2020 con NUOVO PIGNONE INTERNATIONAL y BAKER HUGHES, que alcanzó un monto total modificado de 4,800,106.5 miles de pesos. Uno de los principales hallazgos de la auditoría se relaciona con el contrato PTI-ID-O-P6-7-2022, correspondiente al suministro de gas natural, en el que la ASF detectó pagos en exceso por 10,700.0 miles de pesos derivados de errores en la integración de precios unitarios, al utilizar toneladas en lugar de kilogramos como base de cálculo en conceptos de acero de refuerzo. De este monto, 865.8 miles de pesos corresponden a 2024 y 9,834.2 miles de pesos a 2023. La irregularidad fue reconocida por la entidad fiscalizada, que posteriormente reintegró 20,311.4 miles de pesos (incluyendo IVA), además de 5,658.3 miles de pesos por intereses financieros. En el mismo contrato, la ASF detectó duplicidad de pagos por 6,809.8 miles de pesos, originada por la inclusión redundante de conceptos de mano de obra e insumos en el precio unitario del pavimento de concreto. De este monto, 579.2 miles de pesos corresponden a 2024 y 6,230.6 miles de pesos a 2023. Al igual que en el caso anterior, la entidad fiscalizada realizó el reintegro correspondiente por 20,311.4 miles de pesos (incluyendo IVA), así como 5,658.3 miles de pesos adicionales por intereses. Más allá de estos casos específicos, la auditoría evidenció una constante en la ejecución contractual: múltiples convenios modificatorios para ampliación de montos y plazos. Por ejemplo, el contrato PTI-ID-O-P6-7-2022 acumuló nueve convenios modificatorios que elevaron su monto original hasta 6,024,399.4 miles de pesos, mientras que el contrato PTI-ID-O-EDA-03-2022, adjudicado a JA DÍAZ Y COMPAÑÍA, pasó de 1,050,553.4 a 1,400,498.0 miles de pesos tras cinco modificaciones. De manera similar, el contrato PTI-ID-O-COG-002-2021 incorporó tres convenios que incrementaron su costo y extendieron su vigencia hasta diciembre de 2024. En términos de ejecución financiera, varios contratos presentaron montos relevantes pendientes por erogar al cierre de 2024. Entre ellos, el contrato de cogeneración de TECHINT registró 1,052,387.4 miles de pesos aún no ejercidos; el contrato de suministro de gas natural acumuló 706,746.1 miles de pesos pendientes; y el contrato para instalación de monoboyas (PTI-ID-O-P6-25-2022), a cargo de VAN OORD de México, reportó 970,088.7 miles de pesos por ejercer. Asimismo, se observaron ajustes financieros relevantes derivados de finiquitos contractuales. En el contrato PTI-ID-O-P6-2-2020 se reconocieron incrementos por 122,665.8 miles de pesos, además de un ajuste de costos por 554,974.5 miles de pesos ejercidos en 2024, lo que refleja variaciones significativas respecto a los montos originalmente pactados. En el plano presupuestal, la ASF también advirtió discrepancias entre lo aprobado y lo ejercido. Mientras que el Presupuesto de Egresos de la Federación 2024 contempló 2,752,000.0 miles de pesos para inversión en @Pemex Transformación Industrial bajo el programa R005, la Cuenta Pública reportó un gasto pagado de 46,124,634.9 miles de pesos, de los cuales 42,696,652.3 miles fueron transferidos a PTI Infraestructura de Desarrollo, empresa encargada de ejecutar los contratos, incluyendo los 11,110,412.5 miles de pesos del Paquete 6. Pese a las irregularidades detectadas, la ASF concluyó que, en términos generales, la programación de los contratos revisados se apegó a las estrategias y líneas de acción establecidas para el proyecto. Cabe señalar que muchas de estas ampliaciones millonarias se dieron después de la inauguración -el 1 de julio de 2022- de la refinería Olmeca para conmemorar “el fin de la etapa constructiva”. Sin embargo, el arranque formal de operaciones y producción de combustibles ocurrió más de dos años después, iniciando el procesamiento de carga el 29 de junio de 2024 y formalmente el 3 de agosto de 2024. Atención @Claudiashein @MarcelaVilleg15 @CNE_Mex @SENER_mx @GobiernoMX @FGRmexico @LuzElena_GE @ASF_Mexico  @SCJN @STPS_mx @Tu_IMSS @SEMARNAT_mx @agencia_asea @CENAGAS_mx @IMPetroleo @SATMX @Hacienda_Mexico @BuenGobierno_mx @Centrofcrl #OIC #UIF #OmarReyesColmenares …Zas!!!

1.-https://linozentella.com.mx/paquete-5-refineria-olmeca-no-presento-irregularidades-asf-2024/

2.-https://linozentella.com.mx/paquete-4-refineria-olmeca-dano-al-erario-por-obras-parchadas-en-ica-flour-detecto-asf-2024/

3.-https://linozentella.com.mx/paquete-3-refineria-olmeca-desfase-presupuestal-de-5569-mdp-43372-mdp-en-todo-el-complejo-detecto-asf-2024/

4.-https://linozentella.com.mx/paquete-2-refineria-olmeca-corrupcion-y-pagos-en-exceso-samsung-detecto-asf-2024/

5.-https://linozentella.com.mx/49929-2/

6.-https://linozentella.com.mx/pemex-fertilizantes-pese-a-recursos-ejercidos-siguen-perdidas-financieras-asf-2024/

7.-https://linozentella.com.mx/precios-inflados-en-medicina-subrogada-pemex-asf-2024/

8.-https://linozentella.com.mx/proveedores-reprobados-dan-servicio-medico-subrogado-pemex-asf-2024/

9.-https://linozentella.com.mx/corrupcion-y-penalizaciones-en-compra-consolidada-de-ropa-y-calzado-pemex-asf-2024/

10.-https://linozentella.com.mx/pemex-inyecto-42696-mdp-a-construccion-de-refineria-olmeca-asf-2024/

Tags: PEMEXREFINERÍA OLMECATECHINT

Más Noticias

NOTICIAS

¡DERRAME EN EL GOLFO: ADEMÁS DE MIRANDA/SSSTPA, PEMEX REMUEVE A EDUARDO DÍAZ/CONTROL MARINO Y CARLOS LARIOS/DERRAMES!

abril 18, 2026
19
NOTICIAS

¡DERRAME EN EL GOLFO: NO BASTA CON REMOCIONES, ONG´S EXIGEN REPARACIÓN DE DAÑO AMBIENTAL Y REMEDIACIÓN DE PEMEX!

abril 18, 2026
3
NOTICIAS

¡DERRAME EN EL GOLFO: TARDÍA MITIGACIÓN; DG PADILLA/PEMEX SE TAMBALEA!

abril 17, 2026
5
NOTICIAS

¡DERRAME EN EL GOLFO: NO BASTA CON REMOCIONES, ONG’S EXIGE REPARACIÓN DE DAÑO AMBIENTAL Y REMEDACIÓN DE PEMEX!

abril 17, 2026
30
NOTICIAS

¡CORREN A MIRANDA/SSTPA Y 2 JEFES MÁS EN PEMEX POR ENCUBRIR DERRAME EN EL GOLFO!

abril 16, 2026
261
NOTICIAS

¡HOSPITALES MAC: DEJAN MORIR A PACIENTE, SUBROGAN 1,236 MDP EN PEMEX Y VAN POR MÁS!

abril 16, 2026
82

Buscar

No Result
View All Result

Buscar

No Result
View All Result

Entradas Recientes

  • ¡DERRAME EN EL GOLFO: ADEMÁS DE MIRANDA/SSSTPA, PEMEX REMUEVE A EDUARDO DÍAZ/CONTROL MARINO Y CARLOS LARIOS/DERRAMES!
  • ¡DERRAME EN EL GOLFO: NO BASTA CON REMOCIONES, ONG´S EXIGEN REPARACIÓN DE DAÑO AMBIENTAL Y REMEDIACIÓN DE PEMEX!
  • ¡DERRAME EN EL GOLFO: TARDÍA MITIGACIÓN; DG PADILLA/PEMEX SE TAMBALEA!

Archivos

Categorías

© 2021 Lino Zentella

Welcome Back!

Login to your account below

Forgotten Password?

Retrieve your password

Please enter your username or email address to reset your password.

Log In

Add New Playlist

No Result
View All Result
  • INICIO
  • NOTICIAS
  • DENUNCIAS ANÓNIMAS
  • OBJETIVO
  • EN CORTO
  • VIDEOS

© 2021 Lino Zentella

USO DE COOKIES Al navegar en este sitio aceptas las cookies que utilizamos para mejorar tu experiencia Consulta nuestro Aviso de privacidad
Ir a la versión móvil