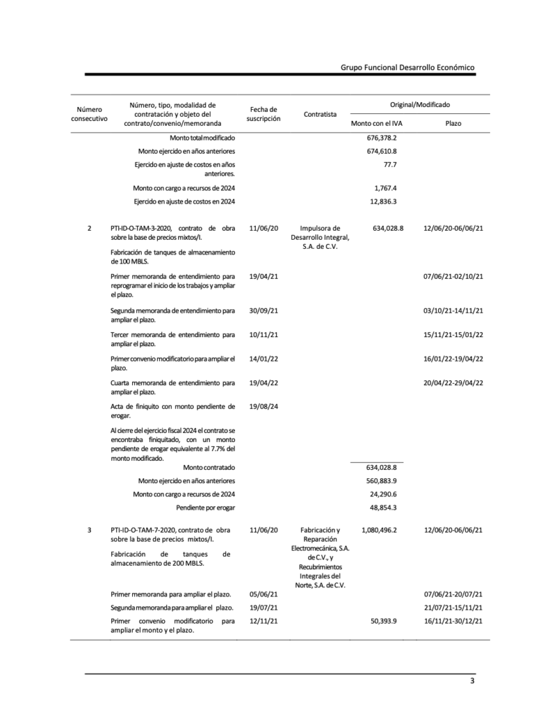
Denuncia al 9933989844… 🏭‼️¡PAQUETE 5 REFINERÍA OLMECA: No presentó irregularidades, ASF 2024! En la ronda de 31 auditorías a la cuenta pública de @Pemex en el ejercicio del año 2024, la Auditoría Superior de la Federación (ASF), que ahora dirige Aureliano Hernández Palacios Cardel, concluyó que el desarrollo del Paquete 5 de la Refinería Olmeca en Dos Bocas, Paraíso, Tabasco, no presentó irregularidades en el ejercicio de los recursos revisados durante 2024, tras fiscalizar un monto total de 231 millones 818 mil 200 pesos, equivalente al 100% del universo seleccionado. El análisis abarcó siete contratos de obra vinculados con la fabricación de tanques y esferas de almacenamiento, así como trabajos complementarios del proyecto energético. De acuerdo con el informe, los recursos auditados corresponden a contratos suscritos por Pemex Transformación Industrial y ejecutados a través de PTI Infraestructura de Desarrollo, los cuales incluyeron montos ejercidos en 2024 por 14.6 millones, 24.2 millones, 43.7 millones, 20.0 millones, 42.5 millones, 27.0 millones y 59.4 millones de pesos, respectivamente, todos revisados en su totalidad. Estos contratos, identificados con claves como PTI-ID-O-TAM-2-2020, PTI-ID-O-TAM-3-2020 y PTI-ID-O-EAM-5-2021, contemplaron tanto obra pública como ajustes de costos derivados de modificaciones contractuales. En el desglose contractual, la ASF documentó múltiples convenios modificatorios, memorandas de entendimiento y actas de finiquito que implicaron ampliaciones de plazo, incrementos y reducciones de monto, así como reprogramaciones en la ejecución. Por ejemplo, el contrato PTI-ID-O-TAM-2-2020, a cargo de TCC Obras e Infraestructura, S.A. de C.V., registró un monto total modificado de 676.3 millones de pesos, con una disminución final de 19.3 millones tras su finiquito. De este instrumento, únicamente 1.7 millones correspondieron a recursos ejercidos en 2024, además de 12.8 millones por ajuste de costos. En el caso del contrato PTI-ID-O-TAM-3-2020, firmado con Impulsora de Desarrollo Integral, se reportó un monto contratado de 634 millones de pesos, con 560.8 millones ejercidos en años anteriores y 24.2 millones en 2024, manteniendo un saldo pendiente por erogar de 48.8 millones, equivalente al 7.7% del monto modificado. Por su parte, el contrato PTI-ID-O-TAM-7-2020, adjudicado a Fabricación y Reparación Electromecánica, y Recubrimientos Integrales del Norte, alcanzó un monto total modificado superior a 1,130 millones de pesos, con 4.2 millones ejercidos en 2024 y 39.5 millones por ajustes de costos. Otros contratos también reflejaron variaciones relevantes. El PTI-ID-O-TAM-9-2021 registró una reducción de 120.4 millones de pesos en su finiquito, mientras que el PTI-ID-O-TAM-10-2021 mantuvo un monto pendiente por erogar de 129.4 millones, equivalente al 12.8% del total modificado. En tanto, el contrato PTI-ID-O-EAM-3-2020 tuvo un incremento de 15 millones en su cierre, y el PTI-ID-O-EAM-5-2021 presentó una disminución de 13.4 millones de pesos, tras ajustes en su ejecución. La auditoría también revisó el flujo de recursos federales destinados al proyecto. En el Presupuesto de Egresos de la Federación 2024 se aprobaron 2 mil 752 millones de pesos para inversión en @Pemex Transformación Industrial; sin embargo, en la Cuenta Pública se reportó un gasto ejercido de 46 mil 124 millones de pesos. De este total, 42 mil 696 millones fueron transferidos a PTI Infraestructura de Desarrollo para cumplir con compromisos financieros de la refinería, incluyendo los 231.8 millones analizados del Paquete 5. Cabe señalar que muchas de estas ampliaciones millonarias se dieron después de la inauguración -el 1 de julio de 2022- de la refinería Olmeca para conmemorar “el fin de la etapa constructiva”. Sin embargo, el arranque formal de operaciones y producción de combustibles ocurrió más de dos años después, iniciando el procesamiento de carga el 29 de junio de 2024 y formalmente el 3 de agosto de 2024. Atención @Claudiashein @MarcelaVilleg15 @CNE_Mex @SENER_mx @GobiernoMX @FGRmexico @LuzElena_GE @ASF_Mexico @SCJN @STPS_mx @Tu_IMSS @SEMARNAT_mx @agencia_asea @CENAGAS_mx @IMPetroleo @SATMX @Hacienda_Mexico @BuenGobierno_mx @Centrofcrl @SEMAR_mx @PROFEPA_Mx @Mx_Diputados @senadomexicano #OIC #UIF #OmarReyesColmenares….Zas!!!
1.- linozentella.com.mx/paquete-4-refi…
2.- linozentella.com.mx/paquete-3-refi…
3.- linozentella.com.mx/paquete-2-refi…
4.- linozentella.com.mx/49929-2/
5.- linozentella.com.mx/pemex-fertiliz…
6.- linozentella.com.mx/precios-inflad…
7.- linozentella.com.mx/proveedores-re…
8.- linozentella.com.mx/corrupcion-y-p…
9.- linozentella.com.mx/pemex-inyecto-…





