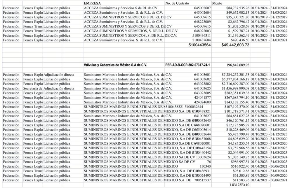
Denuncia al 9933989844…🚩⚠️🤑‼️ ¡SUMIMSA: saquean contrato Pemex por 2,341 MDP a precios inflados; trapos, bolsas, jergas y jaladores por miles de dólares!; el 31 de octubre de 2025, Víctor Hugo Ramírez Olarte, superintendente de Programa y Control Operativo, en complicidad con la supervisora Patricia Fernández Mota y el residente Miguel Ángel Torres del Ángel, solicitó mediante la orden 4304561728 a nombre del área Programa y Control Operativo de la Subdirección de Extracción Región Marina Suroeste (SERMSO antes SRMSO) de Blanca Estela González Valtierra, más de 8,407,074 pesos en “adquisición de herramientas manuales y especializadas consumibles y refacciones”, que -entre otras cosas- fueron bolsas plásticas, engrapadoras y escobas con sobreprecios fuera de lo normal como por ejemplo: 200 metros de jerga de limpieza de algodón fueron solicitados a compra por 528 dólares que equivalen en pesos a 9,095.33 pesos; compras que fueron cargadas al contrato con @Pemex número 643023802 por 2,341,982,144 pesos asignado por Adjudicación Directa a Suministros Marinos e Industriales de México (SUMIMSA) propiedad de los hermanos Jorge Octavio y Gerardo Gustavo Tamayo Sobera firmado desde el 14 de marzo de 2023 para ejecutar el servicio de prestación de herramienta manual y especializada, consumibles, refacciones e inspecciones a componentes, equipos, talleres e instalaciones de @Pemex Exploración y Producción (PEP ahora DEE). Para poder ordeñar bien este convenio, Marco Olivio Sánchez Hernández, coordinador de Operaciones Litoral, presume impunidad por ser el mandadero oficial de la recomendada Blanca Estela González Valtierra (SERMSO) del ex director de Exploración y Extracción (DEE antes PEP), Ángel Cid Munguía. Víctor Hugo Ramírez Olarte es señalado como el “corredor” del contrato y estaría pasando la charola a las compañías para poder autorizar o no órdenes de Marco Olivio Sánchez Hernández. Entre los artículos y las cantidades solicitadas destacan también: 100 trapeadores por 383 dólares; 20 recogedores de lámina por 290 dólares; 600 kilos de trapo algodón absorbente por 2,232 dólares; 50 piezas de jaladores limpia vidrios de plástico por 104 dólares; 60 jaladores industriales de 75 cm por 1,231 dólares; 60 escobas de plástico fibra PVC por 724 dólares; 100 metros de franela de primera 100% color rojo por 125 dólares; 35 cajas de bolsas industriales para basura por 1,763 dólares; 20 cajas de bolsas de basura de baja densidad por 974 dólares y 30 botes de basura para oficina por 975 dólares. Lo grave es que de aplicarse el mismo modus operandis en todos los contratos de SUMIMSA la corrupción se vuelve exponencial ya que han firmado 22 contratos con @Pemex que suman más de 15,361,557,272.96 pesos (2 con Sheinbaum/Padilla, 18 con AMLO/Agrónomo, 1 con EPN/Treviño y 1 con Calderón/Coppel) de los cuales hay 3 vigentes. Además habría que sumarle otras empresas de los hermanos Jorge Octavio y Gerardo Gustavo Tamayo Sobera, como son ACCEZA Suministros y Servicios que ha firmado 10 contratos con @Pemex por 346,269,674.40 pesos (10 contratos con AMLO/Agrónomo) de los que no hay ninguno vigente a la fecha. Y la otra filial Válvulas y Cabezales de México a quien le dieron una Adjudicación Directa por 196,842,689 pesos, contrato supuestamente finalizado el 30 de junio de 2025 pero siguen expidiéndose órdenes de suministro como la datada aquí -objeto del presente artículo- con fecha de 31 de octubre de 2025. Todo lo que da un gran total de 15,904,669,637.29 pesos (¡¡casi 16 mil millones de pesos!!) por lo que autoridades deben de auditar todos estos contratos y deslindar responsabilidades ya que casi todos son para suministro de herramientas, equipos, refacciones y mantenimientos. Los 3 contratos vigentes de SUMIMSA: 1.- Contrato 641003602 entregado por Adjudicación Directa para servicios de mantenimiento a los componentes estratégicos, incluyendo su refaccionamiento (Paquete 1) y la adquisición de equipos (Paquete 2) para asegurar la continuidad operativa de los equipos de perforación propiedad de @Pemex , vigente del 12/04/2023 al 31/12/2027 por 4,636,063,936 pesos. 2.- Contrato 641003601 para mantenimiento a los componentes estratégicos, incluyendo su refaccionamiento (Paquete 1) y la adquisición de equipos (Paquete 2) para asegurar la continuidad operativa de los equipos de perforación propiedad de @Pemex vigente del 4/12/2023 al 31/12/2027 por 6,279,527,846 pesos. 3.- Contrato 651005604 fue para adquisición de cable electromecánico para toma de registros, disparos y operaciones especiales de la Gerencia de Servicios a Pozos (partidas 1, 2, 3 y 6) vigente del 24/10/2025 al 31/12/2027 por 70,164,723.63 pesos. atención @Claudiashein @MarcelaVilleg15 @CNE_Mex @SENER_mx @GobiernoMX @FGRmexico @LuzElena_GE @ASF_Mexico @SCJN @STPS_mx @Tu_IMSS @SEMARNAT_mx @agencia_asea @CENAGAS_mx @IMPetroleo @SATMX @Hacienda_Mexico @BuenGobierno_mx @Centrofcrl #OIC #UIF #OmarReyesColmenares …Zas!!!













